Сколько грамм в ложках? Давайте разберемся.
Вы захотели что-то приготовить и уже нашли рецепт в интернете. Но тут возникли трудности с тем, что у вас нет кухонных весов. В этом нет проблемы, если вы знайте сколько грамм в столовой, чайной и десертной ложках.
Самое главное, что ложками намного проще и удобнее пользоваться, чем весами. Очень часто люди задаются вопросом сколько грамм в столовой ложке сахара, муки и сухих дрожжей. В данной статье вы в полном объеме найдете ответы на свои вопросы.
- чайная ложка, 5 мл это примерно 5 грамм;
- десертная ложка — 10 мл жидкости — 10 грамм;
- столовая ложка — 15 мл жидкости — 15 грамм.
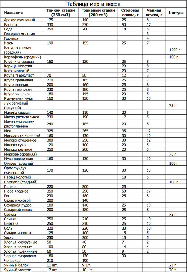
Таблица мер и весов: что и как отмерить, если нет мерного стаканчика
Опытные хозяйки редко используют на кухне мерный стакан или кухонные весы, поскольку все делают на глаз. Однако некоторые сложные блюда требуют безупречного соблюдения пропорций, например выпечка и десерты. В этом случае можно воспользоваться обычным стаканом или ложкой, как это делали когда-то наши мамы и бабушки. И, между прочим, у них получались тончайшие кружевные блины, румяные пирожки, рассыпчатое печенье и отлично пропеченные нежные бисквиты, которые съедались очень быстро. Меры измерения веса в домашних условиях просты — тонкий и граненый стакан, чайная и столовая ложка. Поговорим о том, какое количество продуктов помещается в этих емкостях.
Объем жидкостей
В данном случае взвешивание даже не требуется, поскольку все льющиеся ингредиенты указываются в рецептах в миллилитрах, а не граммах. Для определения их нужного объема понадобится мерный стакан. Если же и его на кухне не найти, то подойдет обычный граненый, столовая ложка или чайная для маленьких весов.
Важно помнить, что одинаковый объем разных жидкостей всегда будет весить по-разному. К примеру, в стакане воды всегда будет столько миллилитров, сколько соответствует его объему, а вот растительного масла обязательно меньше, поскольку его плотность меньше.
Измеряем продукты в стакане
Мера веса в стакане зависит от того, какой вы стакан используете — тонкий или граненый, поскольку они отличаются друг от друга. Граненый стакан имеет объем 200 мл, несколько граней и закругленный ободок. Тонкий стакан — абсолютно гладкий и рассчитан на 250 мл. Жидкости (воду, вино, молоко, сок, сливки) измерять легко, а сыпучие продукты при одинаковом объеме имеют разный вес, что весьма осложняет процесс измерения. Именно для этого и нужна таблица мер веса продуктов — с ней вы никогда не ошибетесь и отмерите ровно столько сахара и муки, сколько требуется для торта или печенья.
Сравнивая продукты, будем указывать количество в граненом (первая цифра) и тонком стакане (вторая цифра). Например, один стакан вмещает 140–175 г пшеничной муки, 180–220 г сахарного песка, 190–230 г растительного масла, 185–240 г растопленного сливочного масла, 250–300 г сгущенного молока и 270–330 г варенья. Что касается круп, то в стакан можно насыпать 70–90 г геркулеса, 170–210 г гречки, 150–200 г манной крупы, 190–230 г риса, гороха, фасоли, пшена, перловки, ячневой крупы и мелких макарон. Сюда поместятся 130–140 г толченых орехов, 130–160 цельного миндаля и фундука, 265–325 г меда, 210–250 г сметаны, 250–300 г томатной пасты и 100–125 г молотых сухарей.
Немного о мерах веса в столовой и чайной ложке
Трудно представить, как можно отмерять ложками пять стаканов муки или литр молока, поэтому эти столовые приборы подходят для того, чтобы отмерить небольшое количество продуктов. Например, если вам нужно совсем немного муки для приготовления воздушных пирожных, соуса бешамель, овощных, мясных или рыбных котлет, вы можете воспользоваться чайной или столовой ложкой.
Одна столовая ложка — это 18 г жидкости, 25 г геркулеса, сахара, манки, гречки, перловки, пшена и риса. Вы можете вполне рассчитывать на то, что в ложке поместится 17 г растительного или растопленного сливочного масла, 30 г муки, соли и молотых орехов, 25 г сметаны и какао-порошка, 20 г сухого молока, 30 г крахмала и меда. Молотых сухарей получится всего 15 г, зато столовой ложкой можно зачерпнуть 50 г варенья. Миниатюрной чайной ложкой у вас получится отмерить 10 г сахара, крахмала и сметаны, 8 г муки, 9 г какао, 7 г меда, 5 г растительного масла и молока. В чайную ложку также помещается 10 г ореховых ядер, 17 г варенья, около 5 г круп и гороха, 2–4 г зерновых хлопьев.
Основные правила измерения порций
- Каши. Порция, которую можно съесть, не должна быть больше, чем кулак. Но если это овсяные хлопья, смешанные с медом и орехами или о других видах злаков с большим количеством ингредиентов, то их должно быть несколько меньше. Этим же способом нужно измерять размер порции спагетти, чечевицу, нут (около 80 г).
- Салаты, овощи и фрукты. При приготовлении салата некоторые диетологи рекомендуют проводить сравнение их объема с размером бейсбольного мяча (он немного больше чем теннисный). Это же количество действует и на размер фруктов.
- Мясо и рыба. Мясное филе должно быть размером с колоду карт или, занимать всю ладонь (около 125 г.). Если говорить о рыбе, то она не должна превышать размер смартфона.
- Сыры. Любителям выдержанного сыра придется довольствоваться размером кусочка с домино (30 г), как рекомендуют диетологи.
- Масло. Рекомендуется, чтобы объем его был эквивалентен подушечке большого пальца (10 г). Ни капли больше, ни капли меньше. Конечно, это не означает, что человек может принимать только 10 г масла в день, ежедневная рекомендация – от двух до шести порций масла.
Точность — вежливость королей
Для измерения меры веса продуктов без весов нужно соблюдать некоторые правила, которые помогут вам строго соблюдать рецептуру. Для приготовления закусок, супов, основных блюд и гарниров это не так критично. Однако в некоторых случаях, например при выпечке хлеба, неправильное соотношение жидкости и муки может привести к замедлению брожения. При недостатке влаги тесто плохо поднимается, а хлеб имеет сухую крошащуюся текстуру. Если влаги, наоборот, слишком много, выпечка получается тяжелой, расплывшейся, с сырым и липким мякишем.
Измерение при помощи тарелки
Использование тарелки в качестве меры позволяет соединить вместе все необходимые группы продуктов. Есть еще один простой способ определять необходимый рацион. Он состоит из необходимых продуктов для соблюдения сбалансированной диеты, основанной на процентном отношении поверхности тарелки. Таким образом можно определить количество необходимых макроэлементы (белки, жиры и углеводы). Без необходимости взвешивать рационы. Для этого тарелку следует разделить на 3 части. Причем еда должна состоять из 50% овощей, 25% белка и еще 25% углеводов.
Правило тарелки
Первая часть предназначена для овощей и должна покрывать 50% поверхности, как сырой, так и приготовленной: салат, тушеные овощи.
Второе место занимают продукты, богатые белком. Оно не должно превышать более 25% тарелки. Это может быть мясо или рыбы, омлет или бобовые.
И, наконец, оставшиеся 25% должны состоять из углеводов. В идеале это должны быть такие продукты, как рис или макароны, порция хлеба или картофеля.
Отмеряем продукты правильно
Как правильно использовать домашние меры веса? Жидкими продуктами следует наполнять емкости до предела, то есть до самых краев. Вязкие и густые смеси (мед, варенье, сметану) удобнее накладывать ложкой, следя, чтобы стакан был полностью заполнен. Наполняйте емкости сыпучими и вязкими продуктами с горкой, а муку и крахмал не зачерпывайте прямо из пакета или мешка, а насыпайте ложкой, чтобы не образовывались пустоты. Не нужно трясти, рыхлить и утрамбовывать продукты, а если вам нужно просеять муку, делайте это после измерений. Дело в том, что при просеивании мука становится более объемной, а значит, изменится и ее вес. Для сравнения: тонкий стакан содержит 160 г муки при правильном наполнении, 210 г утрамбованной муки и 125 г просеянной муки. Изменение характеристик продуктов также влияет на их вес — к примеру, повышение влажности делает соль, сахар и муку тяжелее, а забродившая сметана легче свежей.
Как измерить необходимую порцию
Если употреблять недостаточное количество пищи или переедать, то это может при вести к проблемам из-за недостаточного питания либо привести к ожирению, если употреблять лишнюю еду. К тому же недостаток витаминов и минералов, негативно скажутся на здоровье.
Необходимо учитывать, что необходимы три основные группы продуктов (овощи и фрукты, крупы и продукты животного происхождения) во время каждого приема пищи для правильного функционирования организма. Каждая из групп необходима, так как каждая из них предоставляет различные вещества, которые одинаково необходимы для поддержания функций организма:
- зерновые и картофель обеспечивают энергией;
- бобовые и пища животного происхождения снабжает организм белком, железом, жирами и витамины;
- овощи и фрукты содержат воду, клетчатку, витамины (антиоксиданты) и минералы.
Существуют разные методы, чтобы определить необходимую порцию, которые варьируются от типа пищи до величины тарелки.
Проблема заключается не только в том, что приходится выбрасывать много еды, но и в том, что переедание влияет на вес. Золотое правило любой диеты — измерять величину потребляемой еды. Измерить ее можно и без весов, используя лишь простые приемы.
Чем заменить
Если у вас нет чайного и граненого стакана, возьмите любую емкость, измерьте ее объем с помощью точных кухонных весов и отметьте линию, где будет объем 200 или 250 мл. В кулинарных целях можно использовать и стандартные пластиковые стаканчики вместимостью 200 мл. Обычно в рецептах вместо словосочетания «чайный стакан» пишут просто «стакан» или «чашка», что означает 250 мл. Если мерой весов служит граненый стакан, то в рецептуре это будет непременно указано.
Кулинарная арифметика
Нет необходимости держать в голове десятки цифр, чтобы приготовить вкусное блюдо и не сойти с ума от математических расчетов. Достаточно иметь на кухне таблицу меры веса в ложках и стаканах. Если вы видите в рецепте указание взять половину или четверть стакана какого-то продукта, например сахара, то, имея таблицу, вы легко переведете это количество в другие меры. Например, в четверти граненого стакана содержится 45 г сахара, а это 2 ст. л. сахара без горки или 5,5 ч. л. Интересно, что 1 ст. л. соответствует 3 ч. л., а десертная ложка — это 2 ч. л. Один тонкий стакан вмещает 16 ст. л. жидких, густых и сыпучих продуктов.
Альтернативные способы
Чтобы узнать точный вес продуктов в емкости, объем которой вам неизвестен — воспользуйтесь следующим правилом: возьмите точный измеритель (граненый стакан, столовую ложку) и посчитайте, сколько именно продукта в граммах входит в нужную вам посуду. Проделав операцию один раз, можете зафиксировать примерный объем и использовать удобную емкость в качестве мерной.
Еще один способ основан на массе продукта и равному ему объему воды. Для этого нужно взять две больших емкости разного объема, чтобы одна свободно входила в другую. В меньшую положить килограмм сахара или гречки, а затем поставить ее в большую и наполнить свободное пространство водой до самого края. Как только вы вытащите «контрольную» емкость — получите объем одного килограмма сыпучего продукта. Отметка на половине этого уровня будет равна 500 граммам.
Зарубежные меры веса
Если вы любите готовить по рецептам зарубежной кухни, то можете столкнуться с незнакомыми мерами веса, поэтому эта информация пригодится на кухне. Американская чашка — это наш тонкий стакан, то есть 250 г, а английская чашка соответствует 280 г. Пинта составляет 470 г, унция — 30 г, а кварта «весит» 950 г.
Говорят, что секрет кулинарного мастерства — это вдохновение и точность, поэтому правильная дозировка ингредиентов составляет половину успеха. Если вы хотите облегчить себе жизнь и свести к минимуму сложную арифметику, купите универсальный мерный стаканчик объемом 500 мл с делениями для жидких и сыпучих продуктов. Радуйте близких людей вкусной едой и наслаждайтесь сами!




